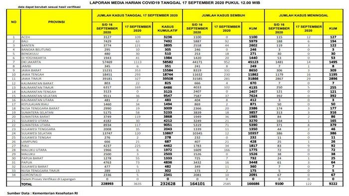
Riau Rekor di Sumatera Kasus Baru Positif Covid-19, Plus 225 Kasus, Kasus Baru di Sumbar dan Sumut
Kasus baru Positif Covid-19 hari ini tanggal 17 September 2020 ada sebanyak 225 kasus hingga totalnya menjadi 4462 kasus.
Penulis: pitos punjadi | Editor: Nolpitos Hendri
TRIBUNPEKANBARU.COM - Kasus baru Positif Covid-19 di Riau menjadi catatan rekor terbanyak kasus Positif Covid-19 dari seluruh provinsi Sumatera.
Kasus baru Positif Covid-19 hari ini tanggal 17 September 2020 ada sebanyak 225 kasus hingga totalnya menjadi 4462 kasus.
Jumlah pasien yang sembuh hari sebelumnya sebanyak 1783 orang dan ada tambahan sembuh baru sebanyak 34 orang hingga totalnya menjadi 1817 orang.
Sedangkan yang meninggal pada hari sebelumnya tercatat 83 orang dan ada 9 orang baru meninggal hingga total yang meninggal sebanyak 92 orang.
ACEH hari sebelumnya 3127 kasus dan tambahan kasus Positif Covid-19 baru sebanyak 109 kasus hingga totalnya menjadi 3236 kasus
BALI hari sebelumnya 7429 kasus dan tambahan kasus Positif Covid-19 baru sebanyak 63 kasus hingga totalnya menjadi 7492 kasus.
BANTEN hari sebelumnya 3774 kasus dan tambahan kasus Positif Covid-19 baru sebanyak 121 kasus hingga totalnya menjadi 3895 kasus.
BANGKA BELITUNG hari sebelumnya 295 kasus dan tambahan kasus Positif Covid-19 baru sebanyak 10 kasus hingga totalnya menjadi 305 kasus.
BENGKULU hari sebelumnya 480 kasus dan tambahan kasus Positif Covid-19 baru sebanyak 30 kasus hingga totalnya menjadi 510 kasus.
YOGYAKARTA hari sebelumnya 1943 kasus dan tambahan kasus Positif Covid-19 baru sebanyak 41 kasus hingga totalnya menjadi 1984 kasus.
DKI JAKARTA hari sebelumnya 57469 kasus dan tambahan kasus Positif Covid-19 baru sebanyak 1113 kasus hingga totalnya menjadi 58582 kasus.
JAMBI hari sebelumnya 345 kasus dan tambahan kasus Positif Covid-19 baru sebanyak 6 kasus hingga totalnya menjadi 351 kasus.
JAWA BARAT hari sebelumnya 15231 kasus dan tambahan kasus Positif Covid-19 baru sebanyak 353 kasus hingga totalnya menjadi 15584 kasus.
JAWA TENGAH hari sebelumnya 18451 kasus dan tambahan kasus Positif Covid-19 baru sebanyak 293 kasus hingga totalnya menjadi 18744 kasus.
JAWA TIMUR hari sebelumnya 39181 kasus dan tambahan kasus Positif Covid-19 baru sebanyak 327 kasus hingga totalnya menjadi 39508 kasus.
