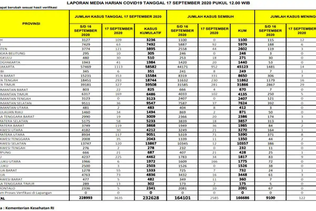
Riau Rekor di Sumatera Kasus Baru Positif Covid-19, Plus 225 Kasus, Kasus Baru di Sumbar dan Sumut
Kasus baru Positif Covid-19 hari ini tanggal 17 September 2020 ada sebanyak 225 kasus hingga totalnya menjadi 4462 kasus.
Penulis: pitos punjadi | Editor: Nolpitos Hendri
RIAU hari sebelumnya 4237 kasus dan tambahan kasus Positif Covid-19 baru sebanyak 225 kasus hingga totalnya menjadi 4462 kasus.
Jumlah pasien yang sembuh hari sebelumnya sebanyak 1783 orang dan ada tambahan sembuh baru sebanyak 34 orang hingga totalnya menjadi 1817 orang.
Sedangkan yang meninggal pada hari sebelumnya tercatat 83 orang dan ada 9 orang baru meninggal hingga total yang meninggal sebanyak 92 orang.
MALUKU UTARA hari sebelumnya 1966 kasus dan tambahan kasus Positif Covid-19 baru sebanyak 6 kasus hingga totalnya menjadi 1972 kasus.
MALUKU hari sebelumnya 2500 kasus dan tambahan kasus Positif Covid-19 baru sebanyak 3 kasus hingga totalnya menjadi 2503 kasus.
PAPUA BARAT hari sebelumnya 1278 kasus dan tambahan kasus Positif Covid-19 baru sebanyak 55 kasus hingga totalnya menjadi 1333 kasus.
PAPUA hari sebelumnya 4763 kasus dan tambahan kasus Positif Covid-19 baru sebanyak 73 kasus hingga totalnya menjadi 4836 kasus.
SULAWESI BARAT hari sebelumnya 477 kasus dan tambahan kasus Positif Covid-19 baru sebanyak 5 kasus hingga totalnya menjadi 482 kasus.
NUSA TENGGARA TIMUR hari sebelumnya 289 kasus dan tambahan kasus Positif Covid-19 baru sebanyak 13 kasus hingga totalnya menjadi 302 kasus.
GORONTALO hari sebelumnya 2336 kasus dan tambahan kasus Positif Covid-19 baru sebanyak 5 kasus hingga totalnya menjadi 2341 kasus. (Tribunpekanbaru.com / Pitos Punjadi)
:quality(30):format(webp):focal(0.5x0.5:0.5x0.5)/pekanbaru/foto/bank/originals/riau-rekor-di-sumatera-kasus-baru-positif-covid-19-plus-225-kasus-berikut-kasus-baru-di-sumbar.jpg)